물류관리사 2교시 (2008년08월24일 기출문제)
1과목 : 보관하역론
1번
다음 중 창고의 기능이 아닌 것은?
2번
다음 설명 중 보관과 관련된 원칙과 거리가 먼 것은?
3번
물류 과정에서 보관은 입고와 출고, 자재와 생산, 생산과 판매의 유동적이고 일시적인 완충재 역할과 링크(Link)와 링크를 이어주는 노드(Node)의 역할을 한다. 다음 중 보관의 기능이 아닌 것은?
4번
컨테이너 터미널에서 사용되는 하역방식은 안벽과 야드간의 컨테이너 이송에 사용되는 장비에 따라 여러 가지 유형으로 구분되고 있다. 현재 국내에서 주로 사용하는 방식은 무엇인가?
5번
물류활동에서는 불필요한 하역작업을 줄이고 가장 경제적인 수준에서 하역이 이루어지도록 하여야 한다. 다음 중 하역합리화로 옳지 않은 것은?
6번
다음은 회전수가 높은 품목의 보관시스템에 대한 설명이다. 차례대로 올바르게 짝지어진 것은?

7번
다음 중 그림에 나타난 운반, 하역기기에 해당되는 설명으로 옳지 않은 것은?

8번
회전랙(Carrousel)에 대한 설명으로 가장 옳은 것은?
9번
다음 컨베이어의 분류 중 나머지 넷과 구별되는 하나는?
10번
다음 중 지게차(Fork Lift Truck)의 종류에 대한 설명으로 옳지 않은 것은?
11번
다음 중 하역 기계장비에 대한 설명으로 옳지 않은 것은?
12번
다음 그림과 같은 방식에 의한 파렛트 풀 시스템에 대한 설명으로 옳지 않은 것은?

13번
제품상자의 크기가 가로 40cm, 세로 35cm, 높이 30cm이다. 이를 KSA표준규격 1,100× 1,100mm의 파렛트에 7상자 적재하면 파렛트 평면적에 대한 적재율은 얼마인가?
14번
다음 중 항공화물의 하역기기 명칭에 대한 설명으로 옳지 않은 것은?
15번
다음 중 포장과 관련된 설명으로 옳지 않은 것은?
16번
다음 중 창고운영의 형태에 대한 설명으로 옳지 않은 것은?
17번
다음 창고보관 장비 중 포크리프트가 랙 내부에 진입하여 하역작업을 할 수 있고, 보관장소와 통로를 겸하기 때문에 화물의 적재율을 높일 수 있으며, 소품종대량의 제품이며 회전율이 적은 제품에 적합하고, 계절적인 수요가 있는 화물의 보관에 매우 경제적인 랙은 무엇인가?
18번
현재 지게차 1대로 1파렛트를 처리하는데 소요되는 시간은 6분이고, 2대의 지게차로 연간 300일(1일 10시간 가동)을 운용하고 있다. 이 창고의 보관능력이 10,000 파렛트라고 한다면 창고의 연간 재고회전율은 몇 회인가?
19번
다음 중 자동창고에 대한 설명으로 옳지 않은 것은?
20번
자동창고의 시스템 구성 요소이며, 화물을 원하는 임의위치까지 운반하는 자동주행 장치로 최근에는 레이저로 유도되는 장비가 등장하였다. 이 장비는 무엇인가?
21번
다음 중 포장의 표준화에 대한 설명으로 옳지 않은 것은?
22번
창고관리시스템(WMS:WarehouseManagement System)의 구축단계의 순서가 바르게 나열된 것은?

23번
다음은 KSA에 규정된 물류센터(창고)의 설계에 대한 기준이다. 잘못 기술된 것은?
24번
다음은 어느 제품의 주문량 실적치이다. 이 회사에서는 3개월 이동평균법을 사용하여 예측하고 있다. 5월의 예측치와 실제 주문량의 차이는 얼마이며, 6월의 예측치는 얼마인가?(단위 : 개)

25번
C기업의 공장은 JIT(Just In Time)를 도입하고 있다. 공장 내부의 A작업장에서 가공된 M부품은 B작업장으로 보내져 여기서 또 다른 공정을 거친다. B작업장은 시간당 200개의 M부품을 필요로 한다. 용기 하나에는 20개의 M부품을 담을 수 있다. 용기의 1회 순회시간은 0.8시간이다. 물류담당자는 시스템 내에 다소의 불안요인이 있어 10%의 안전재고가 필요하다고 판단하였다. A작업장과 B작업장간에 필요한 M부품용기의 수는 최소 몇 개인가?
26번
보관시스템 운영의 효율성을 위해 지정 위치 저장방식(Dedicated Storage Policy)을 적용하고, 보관할 물품의 종류를 입ㆍ출고 빈도가 가장 높은 순서대로 A, B, C로 구분할 때 아래 조건 하에서 저장구역 지정이 가장 잘 된 것은?

27번
JIT(JustInTime)와MRP(Material Requirement Planning)에 해당되는 특성을 가장 바르게 구성한 것은?

28번
수요ㆍ공급변동 등으로 인한 품절현상을 방지하기 위한 재고의 수준을 결정할 때 고려사항이 아닌 것은?
29번
소비자, 도ㆍ소매점, 물류창고, 제조업체에서의 수요정보가 시간이 지나면서 더욱 왜곡되는 이른 바 채찍효과(Bullwhip Effect)에 대한 대처방안으로 옳지 않은 것은?
30번
다음 중 COPQ(Cost of Poor Quality)에 대한 설명으로 옳지 않은 것은?
31번
A사 휴대폰의 연간 재고유지 비용이 21% 증가하고, 주문비용 및 수요량이 각각 10%씩 증가하였을 때 경제적 주문량(EOQ)은?
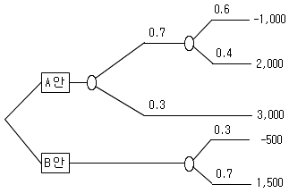
32번
다음과 같은 의사결정나무에서 A안과 B안의 기대수익을 각각 구하고 어느 안이 선택될 것인지를 구하여라.

33번
다음 중 물류거점에 대한 설명으로 옳지 않은 것은?
34번
수요처 및 생산공장의 위치좌표와 물량이 다음 표와 같다고 가정할 때, 무게중심접근법(Center of Gravity Approach)에 따라 유통센터의 입지를 산출한 좌표(X,Y)로 옳은 것은?

35번
물류센터의 설계시 입지선정을 위한 고려사항 으로 옳지 않은 것은?
36번
다음 중 물류센터에 대한 설명으로 옳지 않은 것은?
37번
다음 중 창고 내에서 Material Handling의 개선과 관련이 가장 적은 시스템은?
38번
Material Handling 장비의 생력화, 무인화 추세에 따라 다음과 같은 내용이 개선되어야 한다. 다음 중 개선항목으로 옳지 않은 것은?
39번
다음 하역기기에 대한 명칭과 설명이 올바르게 이루어진 것은?

40번
다음은 제조업과 유통업이 협업하는 기법 중에 CMI(Co-Managed Inventory)에 대한 설명이다. 옳지 않은 것은?
2과목 : 물류관련법규
41번
물류정책기본법령에 규정된 물류사업의 범위에 포함되지 않는 것은?
42번
물류정책기본법령상 물류현황조사에 대한 설명으로 옳은 것은?
43번
물류정책기본법령상 국가물류기본계획에 대한 설명으로 옳은 것은?
44번
물류정책기본법령상 단위물류정보망에 관한 설명으로 옳은 것은?
45번
물류정책기본법령상국토해양부장관이종합물류정보망사업자로 지정할 수 있도록 규정한 공공기관이 아닌 것은?
46번
물류정책기본법령상 전자문서에 관한 설명으로 옳은 것은?
47번
물류정책기본법령에서 국가 또는 지방자치단체가 인증종합물류기업에게 다른 물류기업에 우선하여 소요자금의 일부를 융자하거나 부지확보를 위해 지원할 수 있는 사업이 아닌 것은?
48번
물류정책기본법령상 국제물류주선업자가 등록한 사항 중 변경등록을 해야 할 중요한 사항의 변경에 해당되지 않는 것은?
49번
물류시설의 개발 및 운영에 관한 법령상 용어의 정의에 대한 설명이다. 다음 중 옳지 않은 것은?
50번
물류시설의 개발 및 운영에 관한 법령상 물류시설개발종합계획에 포함되어야 할 사항으로 옳지 않은 것은?
51번
물류시설의 개발 및 운영에 관한 법령상 복합물류터미널사업의 등록기준을 열거한 것이다. 다음 중 옳지 않은 것은?
52번
물류시설의 개발 및 운영에 관한 법령상 복합물류터미널사업의 휴업ㆍ폐업에 대한 설명으로 옳지 않은 것은?
53번
다음 ( )안에 들어갈 것으로 바르게 연결된 것은?

54번
물류시설의 개발 및 운영에 관한 법령상 물류단지개발사업의 비용과 관련된 사항이다. 다음 중 옳지 않은 것은?
55번
물류시설의 개발 및 운영에 관한 법령상 국가 또는 지방자치단체가 물류단지개발사업에 필요한 비용의 일부를 보조하거나 융자할 수 있는 비용의 종목이 아닌 것은?
56번
물류시설의 개발 및 운영에 관한 법령상 국토해양부장관은 물류단지개발계획 중 중요 사항을 변경하려는 때에는 관할 시ㆍ도지사의 의견을 듣고 관계 중앙행정기관의 장과 협의한 후 물류정책기본법제19조제1항제2호의물류시설분과위원회의 심의를 거쳐야 한다. 다음 중 그러한 중요 사항에 해당되지 않는 것은?
57번
화물자동차 운수사업법령상 우수업체 인증에 관한 설명 중 옳지 않은 것은?
58번
화물자동차 운수사업법령상 화물자동차 운송사업의 허가사항변경신고의 대상이 아닌 것은?
59번
화물자동차 운수사업법령상 국토해양부장관이 화물자동차 운송주선사업의 허가를 반드시 취소하여야 하는 사유에 해당되는 것은?
60번
화물자동차 운수사업법령상 화물자동차 운송주선사업의 허가신청절차에 대한 설명으로 옳지 않은 것은?
61번
화물자동차 운수사업법령상 화물자동차 운송사업자가 지급할 책임을 지는 적재물배상책임보험 또는 공제의 가입금액 범위는?
62번
화물자동차 운수사업법령상 화물자동차 운송사업과화물자동차운송가맹사업에이용되지아니하고 자가용으로 사용되는 화물자동차로서 대통령령으로 정하는 화물자동차로 사용하려는 자는 국토해양부령으로 정하는 사항을 시ㆍ도지사에게 신고하여야 한다. 다음 중 그 대상이 아닌 것은?
63번
화물자동차 운수사업법령상 규정된 유상(그 자동차의 운행에 필요한 경비를 포함한다)운송의 금지에 관한 설명 중 옳지 않은 것은?
64번
화물자동차 운수사업법령상 2년 이하의 징역 또는 2천만원 이하의 벌금에 처하는 경우로 옳지 않은 것은?
65번
항만운송사업법령상 항만운송에 해당되지 않는 것은?
66번
항만운송사업법령상 검수사업의 등록기준 중 2급지 항만에 해당하는 것은?
67번
항만운송사업법령상 항만운송사업의 양도ㆍ양수에 대한 설명 중 옳지 않은 것은?
68번
유통산업발전법령상 적용이 배제되는 시장ㆍ사업장 및 매장이 아닌 것은?
69번
유통산업발전법령상 대규모점포의 등록에 관하여 옳게 설명한 것은?
70번
유통산업발전법령상 우수체인사업자의 지정과 관련된 설명으로 옳은 것은?
71번
유통산업발전법령상 물류설비인증에 대한 설명으로 옳지 않은 것은?
72번
유통산업발전법령상 지식경제부장관이 유통정보화의 촉진 및 유통부문의 전자거래기반을 넓히기 위하여 시행하는 유통정보화시책이 아닌 것은?
73번
유통산업발전법령상 지식경제부장관이 유통사업자 또는 유통사업자단체가 추진하는 유통산업의 국제화를 촉진하기 위하여 지원할 수 있는 사업이 아닌 것은?
74번
통산업발전법령에 의한 공동집배송센터의 지정에 대한 설명으로 옳은 것은?
75번
유통산업발전법령상 위반에 대한 처벌이 옳게 설명된 것은?
76번
철도사업법령상 국토해양부장관은 원활한 철도운송ㆍ서비스의 개선 및 운송의 안전 그 밖에 공공복리의 증진을 위하여 필요하다고 인정하는 때에는 철도사업자에게 다음의 사항을 명할 수 있다.이에 해당되지 않는 것은?
77번
철도사업법령상 전용철도에 관한 사항 중 옳지 않은 것은?
78번
철도사업법령상 철도사업의 관리에 관한 설명 중 옳지 않은 것은?
79번
농수산물유통 및 가격안정에 관한 법령상 농수산물종합유통센터의 시설기준에서 필수시설에 해당되지 않는 것은?
80번
농수산물유통 및 가격안정에 관한 법령상 농수산물 도매시장 개설 및 운영에 관한 사항 중 옳지 않은 것은?